当前位置:首页> 高考试题> 数学

2020四川高考理科数学试题及答案解析【word精校版】

今天天天高考网小编整理了2020四川高考理科数学试题及答案解析【word精校版】相关信息,希望在这方面能够更好的帮助到考生及家长。

2020四川高考理科数学答案解析

选择题

1.C 2.D 3.B 4.C 5.B 6

.D 7.A 8.C 9.D 10.D 11.A 12.A

填空题

13.7

14、240

15、(√2/3)π

16、②③

简答题

17.

18.

2020四川高考理科数学试题及答案解析【word精校版】

19.

2020四川高考理科数学试题及答案解析【word精校版】

2020四川高考理科数学试题及答案解析【word精校版】

20.

2020四川高考理科数学试题及答案解析【word精校版】

21.

2020四川高考理科数学试题及答案解析【word精校版】

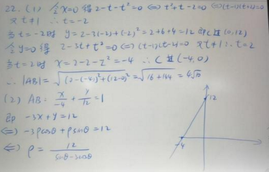
22.

2020四川高考理科数学试题及答案解析【word精校版】

23.

2020四川高考理科数学试题及答案解析【word精校版】

2020高考理科数学试题

2020四川高考理科数学试题及答案解析【word精校版】

2020四川高考理科数学试题及答案解析【word精校版】

2020四川高考理科数学试题及答案解析【word精校版】

2020四川高考理科数学试题及答案解析【word精校版】

2020四川高考理科数学试题及答案解析【word精校版】

2020四川高考理科数学试题及答案解析【word精校版】

以上答案解析来源:百度文库,仅供参考。

Baidu
map

以上,就是天天高考网小编给大家带来的2020四川高考理科数学试题及答案解析【word精校版】全部内容,希望对大家有所帮助!

如果你需要图片压缩,天天高考小编推荐个不错的在线图片压缩网站:https://www.yasuotu.com/

如果你需要图片压缩,天天高考小编推荐个不错的在线图片压缩网站:https://www.yasuotu.com/

相关推荐

猜你喜欢

热门专题

大家正在看

Baidu
map