
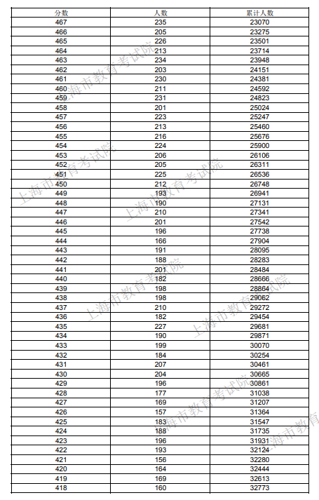
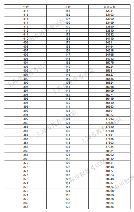
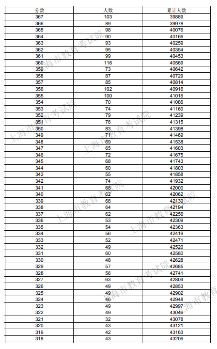
2021年上海考生高考成绩分布表
天天高考网小编推荐:







以上,就是天天高考网小编给大家带来的2021年上海考生高考成绩分布表(一分一段表)全部内容,希望对大家有所帮助!
如果你需要图片压缩,天天高考小编推荐个不错的在线图片压缩网站:https://www.yasuotu.com/
如果你需要图片压缩,天天高考小编推荐个不错的在线图片压缩网站:https://www.yasuotu.com/

天天高考网小编推荐:







以上,就是天天高考网小编给大家带来的2021年上海考生高考成绩分布表(一分一段表)全部内容,希望对大家有所帮助!
如果你需要图片压缩,天天高考小编推荐个不错的在线图片压缩网站:https://www.yasuotu.com/
如果你需要图片压缩,天天高考小编推荐个不错的在线图片压缩网站:https://www.yasuotu.com/